您现在的位置是:首页 > 金融理财

《JTGD50-2017沥青路面设计规范》超详细解读,值得收藏!-一吨沥青可以换算成多少方的沥青

Kate 发布时间:2025-11-28 0浏览

新的沥青路面设计规范2017年9月1日正式实施。公路路基和路面的所有设计规范至此全部更新完毕,系统基本形成。这次新的沥青路面设计规范改动很大,还是有不少不清楚的地方。本文作一深度解读,以期为一些对新规范不了解的朋友解惑……

《JTG D50-2017沥青路面设计规范》超详细解读,值得收藏!

符号说明

设计标准

注:大型客车和货车为本规范附录A中表A.1.2所列的2类~11类车。

△累计轴重为大型客车和货车交通量(2类~11类车)

△增加了“极重”等级,≥50×106辆,分为 五级(老规范四级)

沥青路面设计控制指标五个,取消了表面弯沉指标

五个指标:

Ø 沥青层疲劳开裂;

Ø 无机结合料层疲劳开裂;

Ø 沥青层永久变形;

Ø 路基顶面层竖向压应变;

Ø 路面表面低温开裂(季节性冰冻地区)

3.0.6 设计指标应满足(验算指标)

1.按本规范附录B.1和B.2计算的沥青层和无机结合料层的疲劳开裂寿命(次),[容许的]均应大于附录A确定的设计年限内当量轴载累计作用次数;

2.按附录B3计算的沥青永久变形量,应小于表3.0.6-1容许的变形量值;

3.路基顶面竖向压应变应小于附录B4的容许值;

4.按照附录B5计算的沥青面层低温开裂指数不大于表3.0.6-2;

3.0.7 对于高速公路、一级公路等提出抗滑技术指标

结构组合设计

注意以下几点:

4.4.5 基层和底基层厚度,突出了集料公称最大粒径的关系

4.5.2 面层材料类型适用的交通荷载等级与层位,表4.5.2。

4.5.4 不同粒径的沥青厚度符合表4.5.4的规定

4.6 功能层:粘层、封层、透层、隔离层、防水(排水)层、防裂层、取消了老规范中的垫层!

编制中表面,表4-1,列出了沥青路面主要损坏类型。

材料性质要求和设计参数

5.1.3 路面结构层材料设计参数的确定可分为3个水平(准):

高速公路和一级公路的施工图设计阶段宜用水平一;其他设计阶段使用二级和二级以下。

5.2.2 路基顶面回弹模量(MPa)

路基平衡湿度状态,并考虑干湿与冻融循环作用后的模量值,这个值比现有采用的25~40MPa大了许多。

5.3 粒料类材料

在水平三,可取表5.3.8的值

注:材料性能好、级配好或压实度大时取最高值,反之取低值。

5.4 无机结合料稳定材料

注:a在低塑性土(塑性指数小于7)地区,石灰稳定砂砾和碎石的7d龄期,无侧限抗压强度应大于0.5MPa(100g平衡锥测液限), b低限用于塑性指数小于7的黏土,高限用于塑性指数大于或等于7的黏土

5.4.5 对无机结合料稳定类材料弯拉强度和弹性模量按三个水平作出了规定。

5.5 沥青混合料类材料

5.5.1~5.5.4 为一般规定

5.5.5 季节性冰冻地区高速公路和一级公路表面层沥青低温性能应满足下列指标要求:

2 .当蠕变劲度S在300~600MPa之间,且m>0.3,增加沥青直接拉伸试验(DTT),其断裂应变不宜小于1%(10 000με)

3. 以上都不满足时,由沥青弯曲梁流变试验和直接拉伸试验确定的沥青临界开裂温度。

5.5.6 给出了沥青混合料低温弯曲试验破坏应变要求。

5.5.7 沥青混合料车辙动稳定度要求变化不大(表5.5.7)。

5.5.8 用单轴贯入试验方法测定沥青混合料贯入强度(附录F)

5.5.9 粒料基层沥青路面和粒料底基层、沥青类基层的沥青路 面,沥青贯入强度宜满足式(5.5.9-1)。

沥青混合料贯入强度表示沥青混合料抗剪切变形的能力,旨在控制路面车辙。交通部“沥青路面荷载标准”项目,研究了贯入强度和沥青混合料永久变形的关系模型。

5.5.10 沥青混合料水稳定性技术要求:浸水马歇尔试验残留稳定度,冻融劈裂试验残留稳定度。

5.5.11 沥青混合料动态压缩模量

3、水平三,按表5.5.11确定

路面结构验算

6.1 一般规定

6.1.1 路面结构力学指标计算采用双圆均布垂直荷载作用下的弹性层状连续体系理论。

(计算体系与原规范一样)

但应说明,从概念上引用了结构可靠度理念!

(设计基准期,各级公路目标可靠度和可靠度指标)

6.1.2 路面结构组合方案拟定后,应按附录B方法进行路面结构验算,再结合工程经验和经济分析确定。

6.2 设计指标

6.2.1 多指标(五个)设计,放弃了多年用的表面弯沉指标。

表6.2.1列出来不同结合组合路面的设计指标

6.2.2 各设计指标选用表6.2.2规定的竖向位置处的力学响应, 应按图6.2.2所示计算位置,选取点A,B,C和D计算的最大力学响应量。

6.3 交通、材料和环境参数

6.3.1 各设计指标对应的当量设计轴载作用次数,按附录A确定

6.3.2 路面各结构层模量取值应符合规定

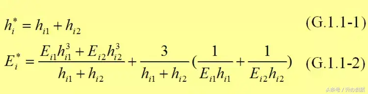
6.3.3 沥青层疲劳,无机料层疲劳和路基顶面压应变验算时,应按附录G确定,湿度调整系数和等效温度,确定方法分两步:

1)根据气温资料和表G-1确定基准路面结构的湿度调整系数和等效温度。

2)对于非基准路面结构,即沥青面层和基层(含底基层)由两层或两层以上不同材料结构层组成时,应按式G.1.1-1和式G.1.1-2分别换算成当量沥青层和当量基层。简化为当量沥青面层、当量基层和路基组成的三层路面结构。

6.4 路面结构验算流程

1、新、老规范的比较

新规范的计算流程图

老规范的计算流程图

比较这两个流程图可以看出:

Ø1、新老规范输入参数基本相同。验算的步骤也差不多!但参数确定方便变化很大!

Ø2、老规范以路表弯沉为设计指标,以沥青层和粒料稳定层拉应力为验算指标。新规范为多指标设计,取消了弯沉指标,以沥青层弯拉疲劳开裂、无机结合料层弯拉疲劳开裂(这两个指标形式上与老规范差不多,但内容上相差较大),沥青层永久变形,路基顶面竖向压应变,沥青面层低温开裂(后面三个老规范是没有的!)

Ø3、最后,新规范还加了一个验收弯沉控制指标(老规范没有明确提出来!)

2、新规范结构验算方法如下:

Ø 1)按附录A调查分析交通参数,根据本规范第3.0.4条规定,确定交通荷载等级;

Ø2)根据路基土类、地下水位高度确定路基干湿类型和湿度状况,按本规范第5.2.2条要求,确定顶面路基回弹模量(没必要的改善措施)

Ø3)根据设计要求,初拟路面结构组合与厚度方案,选取设计指标;

Ø4)按本规范第5章及第6.3.2条规定,确定个结构层模量等设计参数,并按第5章规定检验粒料的CBR值,无机结合料的无侧限抗压强度,沥青低温性能要求,沥青混合料的低温破坏应变、动稳定度、贯入强度和水稳性等指标。

Ø 5)按附录G的规定,确定各设计指标对应的温度调整系数或等效温度;

Ø 6) 采用多层弹性体系理论程序计算各规定点各设计指标的力学响应量;

Ø 7)按附录B的规定进行路面结构验算,验算结构应符合第3.0.6条规定;

Ø 8)对通过结构验算的结构进行技术经济分析,选定设计的路面结构;

Ø 9)按附录B.7计算设计路面的验收弯沉值,并应符合附录B.7的规定。

改建设计

新规范JTG D50-2017与

旧规范JTG D50-2006的主要变化

1、明确了路面结构层和功能层的概念。路面结构层里没有垫层这一说法,路面结构层就由三部分组成:面层、基层和底基层。以前一直说的垫层,可归为功能层或路基处置层。

2、设计引入可靠度设计方法。

3、调整了交通荷载等级的划分方法,用设计年限内累计的大客车和货车交通量来确定。

4、标准轴载依然为单轴双轮100KN。但是轴载换算方法进行了很大调整。

5、最大的变动是沥青路面设计指标,摈弃了使用几十年的设计弯沉。设计指标采用了与路面使用性能相关的沥青混合料疲劳开裂、无机结合料稳定层疲劳开裂、沥青混合料永久变形、路基顶面竖向压应变等。

不同的路面结构类型,设计指标不同,比如对于常见的半刚性基层沥青路面,设计指标为半刚性基层疲劳开裂和沥青面层永久变形。这是和不同的结构类型的力学特性相关的,对于半刚性基层沥青路面,沥青面层主要受压力,当然就不会出现疲劳开裂,所以没有必要验算面层了。具体验算时,计算各结构层疲劳寿命不能小于承受的累计当量轴次。

弯沉作为设计指标取消了,但是在路基和路面交(竣)工验收时,要检测验收弯沉。

路基顶面竖向压应变对于半刚性基层沥青路面而言,不是设计指标,但它是路基的设计指标,这就跟路基设计规范统一起来了。

6、4.1.4条明确指明:沥青结合料类材料层与其他材料层间应设置封层。4.6.3条又说:无机结合料稳定类材料层与沥青结合料结构层之间宜设置封层。“应”和“宜”?为何两个条文用词前后不统一呢?

7、沥青路面结构类型调整为四种:无机结合料稳定类基层沥青路面(半刚性基层沥青路面)、粒料类基层沥青路面(柔性基层沥青路面)、沥青结合料类基层沥青路面(柔性基层沥青路面)和水泥砼基层沥青路面(刚性基层沥青路面)。这是按照基层类型来进行划分的,如果再考虑底基层类型,那种类更多。

8、4.4.4条:无机结合料稳定层与沥青结合料材料层间可设置级配碎石、半开级配或开级配沥青碎石。两层之间设置级配碎石,就是以前说的倒装结构,印象中成功的不多,为何这次规范里多次提出呢?

9、基层材料的厚度,规范里提出要根据最大公称粒径来确定最小压实厚度。

10、不同交通等级提出了不同的粘层材料要求。

11、材料设计参数的确定,分为三个水平。大部分设计单位肯定采用水平三。

12、5.2.2条对路基顶面回弹模量提出了要求,这与路基设计规范的3.2.4条对应了起来。这个回弹模量是路基平衡湿度状态下的动模量。

13、路面结构计算时,粒料类的模量采用回弹模量乘以湿度调整系数,湿度调整系数1.6-2.0,具体取多少,规范里没明说。

14、无机结合料稳定类材料跟《公路路面基层施工技术细则》统一了起来,最大强度可达到7Mpa。路面结构计算时,其参数为弯拉强度和弹性模量,弹性模量需要乘以系数0.5。

15、5.5.4条明确提出了沥青面层各层的最大公称粒径要求,

16、增加了沥青混合料贯入强度要求。这是针对车辙的。

17、路面结构计算时,沥青层的参数是动态压缩模量。

18、对于改建路面,如果原路面破坏严重,原路面作为路基,计算其顶面当量回弹模量,老路面不用进行结构验算;如果原路面破损不严重,要求对新路面和老路面都进行结构验算,如果加铺层还有基层,那么新老路面怎么进行结构验算呢?

19、路面结构验算中,各结构层的疲劳开裂验算和路基顶面竖向压应变验算,在没有实验基础上利用经验参数都可以计算。但是沥青混合料层的永久变形验算,必须要做车辙试验,这是大部分设计单位无法做到的,这该怎么办?

20、B.7.1,关于平衡湿度状态下路基顶面回弹模量,本规范与路基设计规范规定不一致。

本规范认为:路基平衡湿度状态下的路基顶面回弹模量,只考虑湿度调整系数。

路基设计规范认为:路基平衡湿度状态下的路基顶面回弹模量,不仅考虑湿度调整系数,还要考虑干湿和冻融循环调整系数。

本规范对标准状态和平衡状态没有搞得很清楚,不过不影响计算。

21、验收弯沉均采用FWD检测,可是很多单位都没有FWD,那么动弯沉和静弯沉如何换算?

三次元轮廓投影仪

三次元光学影像测量仪

三次元光学影像测量仪

本文内容由互联网用户自发贡献,该文观点仅代表作者本人。本站仅提供信息存储空间服务,不拥有所有权,不承担相关法律责任。如发现本站有涉嫌抄袭侵权/违法违规的内容, 请发送邮件至 931614094@qq.com 举报,一经查实,本站将立刻删除。
相关标签: